Sự phát triển của Multi-Agent System (MAS) đang mở ra kỷ nguyên mới cho trí tuệ nhân tạo, nơi mà các AI Agents có thể tự động hợp tác, trao đổi thông tin và ra quyết định thông minh mà không cần sự can thiệp trực tiếp của con người. Trong bài viết này, hãy cùng FOXAi khám phá chi tiết về Multi Agent System, bao gồm cách thức hoạt động và những ứng dụng thực tế ở nhiều lĩnh vực khác nhau.
Multi Agent là gì?
Tác nhân AI (Agent) là một thực thể hoạt động độc lập, có khả năng quan sát môi trường, phân tích dữ liệu, suy luận và ra quyết định nhằm thực hiện hành động một cách tự chủ, không cần sự điều khiển trực tiếp của con người.
Khác với các chatbot truyền thống chỉ phản hồi dựa trên lời nhắc từ người dùng thì AI Agent hoạt động như một hệ thống tự trị, có thể theo đuổi mục tiêu được định sẵn bằng nhiều phương thức khác nhau và can thiệp của con người là tối thiểu. Nhờ đó, các tác nhân này đặc biệt hiệu quả trong những tác vụ chuyên biệt như phân tích dữ liệu quy mô lớn, tự động hóa quy trình kiểm thử phần mềm, hoặc hỗ trợ ra quyết định chiến lược.

Hệ thống Đa Tác nhân (Multi-Agent System – MAS) là một kiến trúc AI tiên tiến, trong đó nhiều tác nhân thông minh cùng tồn tại và tương tác với nhau, có thể hợp tác hoặc cạnh tranh để giải quyết các bài toán phức tạp mà một tác nhân đơn lẻ không thể xử lý hiệu quả. Đây là mô hình đang được ứng dụng ngày càng phổ biến trong nhiều lĩnh vực, từ năng lượng, logistics, đến sản xuất thông minh.
Cốt lõi của MAS nằm ở cơ chế phân chia nhiệm vụ. Thay vì để một Agent thực hiện toàn bộ quy trình, hệ thống MAS chia nhỏ công việc cho các tác nhân chuyên trách khác nhau.
Ví dụ, trong một hệ thống xử lý ngôn ngữ tự nhiên, có thể có các Agent đảm nhiệm dịch thuật, tóm tắt nội dung, hoặc sáng tạo văn bản. Các Agent này phối hợp nhịp nhàng, chia sẻ thông tin và kết quả để tạo nên một quy trình làm việc tự động, linh hoạt và tối ưu hóa hiệu suất tổng thể.
Sự khác biệt giữa Multi Agent System và Single Agent System
Việc hiểu rõ sự phân biệt giữa Single Agent System và Multi-Agent System là rất quan trọng để xác định kiến trúc nào phù hợp nhất với độ phức tạp và yêu cầu mở rộng của bài toán đang được xem xét.
Phương pháp ra quyết định và kiểm soát
Trong Single Agent System, việc kiểm soát là tập trung. SAS ra quyết định dựa trên một nguồn dữ liệu và thuật toán duy nhất. Loại kiến trúc này phù hợp khi toàn bộ ngữ cảnh vấn đề hẹp, được xác định rõ, và có thể được cấu trúc trong một kho kiến thức duy nhất.
Ngược lại, Multi-Agent System (MAS) thực hiện ra quyết định phân tán. Các Agent có thể có các chiến lược ra quyết định khác nhau, hoạt động trên các nguồn dữ liệu cục bộ nhưng phối hợp để đạt được mục tiêu chung. Điều này cho phép MAS xử lý các vấn đề đòi hỏi nhiều góc nhìn đa dạng, dẫn đến quá trình ra quyết định toàn diện hơn.
Khả năng thích nghi và tính mở rộng
Khả năng thích nghi: SAS có khả năng thích nghi thấp hơn. MAS thích nghi linh hoạt hơn do có thể điều chỉnh vai trò của từng Agent theo điều kiện thực tế. Khả năng tích hợp các góc nhìn đa dạng và sự phối hợp giữa nhiều thành phần giúp MAS tạo ra các giải pháp sáng tạo hơn trong môi trường phức tạp.
Tính mở rộng: MAS vượt trội về khả năng mở . Hệ thống cho phép mở rộng bằng cách thêm các Agent mới một cách mô-đun mà không làm xáo trộn các Agent hiện có. Đối lập, SAS thường yêu cầu chỉnh sửa toàn bộ hệ thống khi cần mở rộng hoặc tích hợp thêm chức năng, làm tăng chi phí và rủi ro.
Phạm vi vấn đề phù hợp
SAS phù hợp nhất với các tác vụ đơn giản, có tính chất tuyến tính, không yêu cầu sự phối hợp cao, hoặc trong các môi trường có thể dự đoán được.
MAS phù hợp với các hệ thống phức tạp, phân tán, yêu cầu xử lý song song, tích hợp nhiều nguồn dữ liệu, và khả năng mở rộng tốt. Các ví dụ bao gồm giao thông thông minh, thương mại điện tử, và trò chơi trực tuyến.
Điều quan trọng cần nhấn mạnh là SAS vẫn đóng vai trò quan trọng trong các môi trường có tài nguyên tính toán hạn chế, bộ nhớ hoặc năng lượng, nơi việc hỗ trợ nhiều Agent có thể không hiệu quả.
Tổng hợp các loại Multi Agent System
Multi-Agent System (MAS) là hệ thống bao gồm nhiều AI Agent hoạt động song song và tương tác với nhau để giải quyết những bài toán phức tạp vượt ngoài khả năng của một mô hình đơn lẻ. Dựa trên cách các Agent phối hợp và định hướng mục tiêu, MAS có thể được chia thành ba nhóm chính: Cooperative Agent, Adversarial Agent và Mixed-Agent.
Cooperative Agent – Hợp tác vì mục tiêu chung
Cooperative Agent là mô hình trong đó nhiều AI Agent phối hợp chặt chẽ, liên tục trao đổi dữ liệu và chia sẻ tài nguyên (như thông tin, năng lượng, năng lực tính toán) để cùng đạt được một mục tiêu chung.
Ví dụ, trong một hệ thống chatbot hỗ trợ khách hàng dựa trên mô hình ngôn ngữ lớn (LLM):
- Một Agent phụ trách hiểu và phân tích truy vấn của người dùng.
- Một Agent khác đảm nhiệm tìm kiếm thông tin từ cơ sở dữ liệu.
- Agent cuối cùng tổng hợp và tối ưu hóa câu trả lời.
Sự phối hợp nhịp nhàng giữa các Agent giúp hệ thống phản hồi nhanh hơn, chính xác hơn và mang lại trải nghiệm tốt hơn cho người dùng.

Adversarial Agent – Đối kháng để tối ưu chiến lược
Adversarial Agent là mô hình trong đó các AI Agent có mục tiêu xung đột hoặc cạnh tranh lẫn nhau. Chúng thường sử dụng các nguyên tắc của lý thuyết trò chơi để dự đoán, phản ứng và điều chỉnh chiến lược theo hành động của đối thủ.
Chẳng hạn, trong trò chơi cờ vua, mỗi Agent có thể đại diện cho một người chơi độc lập, liên tục phân tích bàn cờ, dự đoán nước đi tiếp theo và điều chỉnh chiến thuật để vượt qua đối phương.
Một hệ thống MAS có thể triển khai nhiều Agent đồng thời một số hợp tác để khám phá nước đi mạnh nhất, số khác cạnh tranh để kiểm chứng chiến thuật. Quá trình “đối kháng – hợp tác” này giúp mô hình tìm ra chiến lược tối ưu nhất trong mọi tình huống.
Mixed-Agent – Cân bằng giữa hợp tác và cạnh tranh
Mixed-Agent mô phỏng môi trường thực tế phức tạp, nơi các bên vừa hợp tác vừa cạnh tranh tùy theo mục tiêu và lợi ích. Các Agent có thể thương lượng, hình thành liên minh tạm thời để đạt được lợi ích chung, sau đó cạnh tranh để tối đa hóa lợi ích riêng.
Ví dụ, trong một nền tảng sáng tác cộng tác, nhiều AI Agent dựa trên LLM cùng nhau phát triển một câu chuyện:
- Một số Agent phối hợp xây dựng cốt truyện thống nhất, đảm bảo logic và tính cách nhân vật.
- Trong khi đó, các Agent khác cạnh tranh để đưa ra ý tưởng sáng tạo nhất, chẳng hạn như những tình tiết bất ngờ hoặc câu thoại ấn tượng.
Sự kết hợp giữa hợp tác và cạnh tranh này tạo nên một hệ sinh thái sáng tạo năng động, phản ánh đúng cách con người tương tác trong đời sống và công việc.
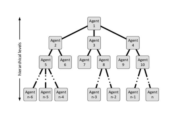
Hierarchical Agents – Cấu trúc phân tầng giúp quản lý hiệu quả
Hierarchical Agents là mô hình được tổ chức theo cấu trúc phân cấp, trong đó các AI Agent cấp cao đóng vai trò giám sát và điều phối, còn AI Agent cấp thấp chịu trách nhiệm thực thi các nhiệm vụ cụ thể. Cấu trúc này giúp phân bổ nhiệm vụ hợp lý, kiểm soát luồng công việc hiệu quả và đảm bảo toàn hệ thống hoạt động theo chiến lược tổng thể đã định.
Ví dụ, trong một hệ thống quản lý nội dung tự động (AI Content Management System):
- Supervisor Agent (tác nhân giám sát) ở cấp cao nhất sẽ quản lý toàn bộ quy trình, phân công cho các Sub-Agent cấp dưới như:
- Agent chuyên tìm kiếm và tổng hợp thông tin,
- Agent viết và soạn thảo nội dung,
- Agent kiểm duyệt và biên tập trước khi xuất bản.
Sự phối hợp phân tầng này giúp hệ thống hoạt động nhịp nhàng, chính xác và tuân thủ định hướng chiến lược nội dung của tổ chức hoặc doanh nghiệp.

Heterogeneous Agents – Đa dạng vai trò, linh hoạt thích ứng
Heterogeneous Agents là hệ thống gồm nhiều AI Agent có khả năng, kỹ năng và vai trò khác nhau. Mỗi Agent đảm nhiệm một phần việc chuyên biệt, nhờ đó toàn bộ hệ thống trở nên đa năng và linh hoạt hơn trong việc xử lý các tình huống phức tạp.
Chẳng hạn, trong một nền tảng thương mại điện tử thông minh:
- Một Agent đảm nhận tư vấn sản phẩm dựa trên hành vi người dùng,
- Một Agent khác phụ trách xử lý thanh toán và đơn hàng,
- Một Agent quản lý hỗ trợ khách hàng sau bán.
Nếu một Agent gặp sự cố (ví dụ: Agent thanh toán bị lỗi), các Agent khác vẫn có thể tiếp tục hoạt động bình thường, đảm bảo toàn hệ thống không bị gián đoạn.
Nhờ cấu trúc đa dạng và tự điều chỉnh, mô hình Heterogeneous Agents đặc biệt phù hợp với các hệ thống AI phức hợp quy mô lớn, đòi hỏi khả năng thích ứng, mở rộng và phục hồi nhanh khi có sự cố.
Các ứng dụng thực tế của các Multi Agent System
Với khả năng tự động tương tác, học hỏi và ra quyết định thông minh, Multi-Agent System (MAS) đang trở thành nền tảng công nghệ trọng yếu trong nhiều lĩnh vực hiện nay. Dưới đây là một số ứng dụng tiêu biểu:
Lĩnh vực năng lượng – Tối ưu hóa quản lý lưới điện thông minh
Trong hệ thống lưới điện thông minh (Smart Grid), MAS đóng vai trò điều phối việc phân phối điện năng, dự đoán nhu cầu tiêu thụ và quản lý nguồn năng lượng tái tạo.
- Các AI Agent hoạt động đồng bộ để thu thập và phân tích dữ liệu thời gian thực,
- Tự động điều chỉnh công suất phát điện,
- Giảm thiểu tình trạng quá tải hoặc mất điện.
Nhờ khả năng học hỏi và phản ứng nhanh với biến động của thị trường năng lượng, MAS giúp tối ưu hóa hiệu suất vận hành, giảm chi phí và tăng độ ổn định của toàn bộ hệ thống điện.
Lĩnh vực cứu hộ – Tăng tốc độ và hiệu quả tìm kiếm, cứu nạn
Trong các tình huống thiên tai, sập hầm hay động đất, MAS được ứng dụng trong robot cứu hộ tự hành để hỗ trợ lực lượng con người.
- Các robot có thể phân chia khu vực tìm kiếm,
- Trao đổi thông tin liên tục về bản đồ, vật cản, hoặc tín hiệu sự sống,
- Phối hợp chiến thuật nhằm xác định vị trí nạn nhân và vận chuyển vật tư cứu trợ nhanh nhất có thể.
Cơ chế phối hợp và ra quyết định tập thể của MAS giúp rút ngắn thời gian phản ứng, nâng cao độ an toàn và giảm rủi ro cho đội cứu hộ.
Lĩnh vực sản xuất – Nâng cao năng suất và tự động hóa quy trình
Trong các nhà máy thông minh (Smart Factory), MAS được sử dụng để giám sát và tối ưu toàn bộ dây chuyền sản xuất – từ kiểm tra chất lượng, vận hành máy móc cho đến đóng gói sản phẩm.
- Các AI Agent chịu trách nhiệm giám sát từng công đoạn,
- Tự động điều phối tài nguyên khi phát sinh lỗi,
- Đồng thời cung cấp dữ liệu phân tích giúp dự đoán sự cố và cải tiến hiệu suất sản xuất.
Nhờ đó, MAS trở thành trụ cột của mô hình sản xuất thông minh, đặc biệt trong các ngành công nghiệp có quy mô lớn như ô tô, điện tử và chế tạo chính xác, giúp doanh nghiệp đạt được tính linh hoạt cao và năng suất vượt trội.
Thách thức khi triển khai các Multi Agent System trong thực tế
Mặc dù Multi-Agent System mang lại nhiều tiềm năng ứng dụng trong các lĩnh vực như năng lượng, sản xuất, hay cứu hộ khẩn cấp, nhưng việc triển khai trong thực tế vẫn đối mặt với hàng loạt thách thức về kỹ thuật, bảo mật và quản trị. Dưới đây là những vấn đề cốt lõi mà doanh nghiệp và nhà phát triển cần lưu ý:
Phức tạp trong việc phối hợp giữa các AI Agent
Khi nhiều AI Agent có mục tiêu và hành vi khác nhau cùng hoạt động trong một hệ thống, việc đồng bộ và tránh xung đột trở nên vô cùng phức tạp. Hệ thống cần có cơ chế điều phối và ra quyết định tập thể rõ ràng để đảm bảo tất cả các Agent hướng đến mục tiêu chung mà không gây cản trở lẫn nhau.
Hành vi khó dự đoán và kiểm soát
Vì mỗi Agent trong MAS đều tự chủ trong học hỏi và hành động, nên có thể xuất hiện những hành vi ngoài mong đợi. Đặc biệt trong các hệ thống phi tập trung. Điều này đặt ra thách thức trong việc kiểm soát, giám sát và đảm bảo tính ổn định của toàn bộ hệ
Phụ thuộc vào mô hình nền tảng
Phần lớn các MAS hiện nay được xây dựng trên một mô hình nền tảng chung như LLM hoặc mô hình học sâu chuyên biệt. Khi mô hình gốc gặp lỗi hoặc bị tấn công, toàn bộ hệ thống MAS có thể bị ảnh hưởng dây chuyền, gây ra rủi ro vận hành và lỗ hổng bảo mật nghiêm trọng.
Yêu cầu tài nguyên tính toán lớn
Việc duy trì, huấn luyện và vận hành một hệ thống MAS đòi hỏi năng lực tính toán mạnh mẽ, đặc biệt là khi xử lý dữ liệu thời gian thực hoặc môi trường đa nhiệm. Hệ thống cần lượng lớn CPU/GPU, bộ nhớ và băng thông mạng, khiến việc triển khai trong môi trường hạn chế tài nguyên trở nên khó khăn và tốn kém.
Rủi ro bảo mật và an ninh mạng
MAS có thể trở thành mục tiêu của các cuộc tấn công mạng như DDoS, giả mạo dữ liệu hoặc can thiệp vào kênh giao tiếp giữa các Agent. Nếu không có cơ chế xác thực và mã hóa đủ mạnh, hacker có thể chiếm quyền điều khiển hoặc gây rối loạn toàn bộ hệ thống.
Thiếu tiêu chuẩn chung về giao tiếp giữa các Agent
Các AI Agent có thể được phát triển trên nhiều nền tảng và ngôn ngữ khác nhau, dẫn đến khó khăn trong việc thiết lập giao thức liên lạc thống nhất. Điều này ảnh hưởng trực tiếp đến khả năng tương tác, chia sẻ dữ liệu và phối hợp trong hệ thống đa Agent.
Khó khăn trong kiểm thử và đánh giá hiệu suất
Do đặc tính phi tuyến tính và tự học hỏi của các Agent, việc kiểm thử toàn diện MAS trong môi trường mô phỏng hoặc thực tế là một bài toán phức tạp. Việc đánh giá tính an toàn, độ tin cậy và hiệu năng đòi hỏi nhiều kịch bản thử nghiệm đa dạng và công cụ chuyên biệt.
Thách thức trong mở rộng quy mô và quản lý hệ thống
Khi quy mô MAS tăng lên, số lượng Agent và mức độ tương tác cũng tăng theo cấp số nhân. Điều này khiến việc quản trị, giám sát và tối ưu hiệu suất trở nên khó khăn, đòi hỏi hạ tầng quản lý tập trung và công cụ điều phối thông minh.
Vấn đề đạo đức và trách nhiệm
Khi các AI Agent ngày càng tự chủ trong ra quyết định, câu hỏi về đạo đức và trách nhiệm pháp lý trở nên cấp thiết. Nếu một MAS gây ra hậu quả không mong muốn. Chẳng hạn như sai lệch trong đánh giá, rủi ro vận hành hoặc thiệt hại con người, việc xác định chủ thể chịu trách nhiệm là một thách thức chưa có lời giải rõ ràng.
Multi-Agent System đại diện cho bước tiến quan trọng của trí tuệ nhân tạo hiện đại, mở ra khả năng xây dựng những hệ thống tự động, linh hoạt và có khả năng học hỏi tập thể. Tuy nhiên, để hiện thực hóa tiềm năng này, doanh nghiệp cần giải quyết bài toán phối hợp, bảo mật, tiêu chuẩn hóa và quản trị quy mô.
Theo dự báo trong tương lai gần, cùng với sự phát triển của AI nền tảng, điện toán đám mây phân tán và học tăng cường, các hệ thống MAS sẽ ngày càng ổn định, đáng tin cậy và dễ triển khai hơn, trở thành nền tảng cốt lõi cho thế hệ AI doanh nghiệp mới.
◾ Xem thêm: Cơ sở dữ liệu In-Memory là gì? Khái niệm, ứng dụng, cách thức hoạt động
◾ Xem thêm: Case study LOS ngân hàng minh chứng hiệu quả triển khai thực tế

